- 1 : 25/04/06(日) 01:34:07 ID:VTcb
-
物理の問題を解くで
質量mの物体が円弧状のレールに沿ってAからBまでに移動するのにかかる時間を計算します。
ワイだってやればできるってとこを見てて欲しい - 4 : 25/04/06(日) 01:38:14 ID:VTcb
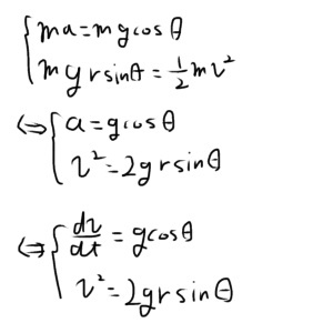
- 進行方向の加速度をaとするとこうや
- 5 : 25/04/06(日) 01:41:36 ID:VTcb
- あと力学的エネルギー保存則からこうや
- 6 : 25/04/06(日) 01:42:41 ID:bvG2
- ラグランジアン書いてこそだ
- 7 : 25/04/06(日) 01:44:10 ID:VTcb
- >>6
高校物理しかやってこなかったから知らん?
ちな二浪して諦めて今フリーターや - 8 : 25/04/06(日) 01:44:41 ID:bvG2
- 頑張ってこそだ
- 9 : 25/04/06(日) 01:44:53 ID:oeVD
- まだ受験するんか?
- 11 : 25/04/06(日) 01:45:37 ID:VTcb
- >>9
いやもう精も根も尽きた
英語も読めんし古文もできん - 14 : 25/04/06(日) 01:46:59 ID:oeVD
- >>11
どのレベル目指してたんや?
レベル低いとこなら英語と古文そこそこでも受かるかもよ - 19 : 25/04/06(日) 01:48:29 ID:VTcb
- >>14
物理学者になりたくて旧帝の理学部目指してた - 22 : 25/04/06(日) 01:51:05 ID:oeVD
- >>19
旧帝じゃむずいなあ
理科大とか中下位国公立やと行きたく無い感じか? - 23 : 25/04/06(日) 01:51:51 ID:VTcb
- >>22
もう遅い
だってワイ今年で28 - 24 : 25/04/06(日) 01:52:21 ID:oeVD
- >>23
なるほど
ちょっともったいないな - 10 : 25/04/06(日) 01:45:00 ID:VTcb
-
今までの式からこう
- 12 : 25/04/06(日) 01:45:59 ID:fdOv
- ちなみに灘高校受験する中学生はもうこれをマスターしてるんやで
- 13 : 25/04/06(日) 01:46:17 ID:VTcb
- >>12
嘘つけ - 16 : 25/04/06(日) 01:47:23 ID:fdOv
- >>13
過去問にあるよ - 20 : 25/04/06(日) 01:49:04 ID:VTcb
- >>16
高校物理を高校入試で出すんかすごいなぁ… - 15 : 25/04/06(日) 01:47:06 ID:9aOk
- もし大学行きたいなら社会人入学は良いぞ
- 17 : 25/04/06(日) 01:47:42 ID:Stmx
- ワイも馬鹿やけど共通テストレベルなら英語で8〜9割取れるで
英語は慣れや - 18 : 25/04/06(日) 01:48:07 ID:oeVD
- >>17
普通に天才で草 - 21 : 25/04/06(日) 01:50:14 ID:VTcb
-
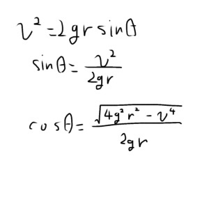
こうなるんや
- 25 : 25/04/06(日) 01:54:11 ID:VTcb
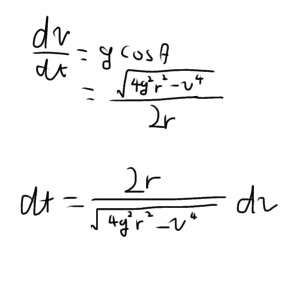
- 微分方程式を立てるんや
- 26 : 25/04/06(日) 01:57:08 ID:VTcb
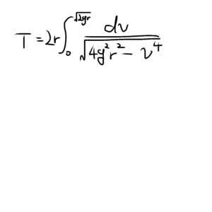
- 積分区間は多分0から√2gr
求める時間をTとすると - 27 : 25/04/06(日) 01:58:18 ID:VTcb
- 解けたで
見てみ?
ワイだってやる時はやるんやすごいやろ?
なぁ - 28 : 25/04/06(日) 01:59:18 ID:VTcb
- ワイは一人やったんやな…
- 29 : 25/04/06(日) 02:01:12 ID:oeVD
- 一応見てるで
ワイゆとり世代やからわからんのやけど
これ高校の範囲か?ワイは大学でやったで - 31 : 25/04/06(日) 02:02:03 ID:VTcb
- >>29
高校の範囲でも解けるで
現に高校物理しか習ってないワイが出来てるんや - 32 : 25/04/06(日) 02:02:46 ID:oeVD
- >>31
高校の範囲で解けるのは知ってるで - 30 : 25/04/06(日) 02:01:51 ID:oeVD
- いや、レベル高いやつなら高校でやってたんかもやけど
- 33 : 25/04/06(日) 02:03:36 ID:oeVD
- 高校物理やとワイは微分使わなかった覚えがあるんや
こういうのは大学でやった
無能のワイでもやれば出来るってことを証明するスレ
おーぷんなんJ








コメント